Nedeljski piknik z ali brez ajvarja? Vse to se skriva v embalaži

| v Slovenija

Ajvar je stalnica piknikov. Njegovo priljubljenost dokazuje bogata ponudba na trgovskih policah.

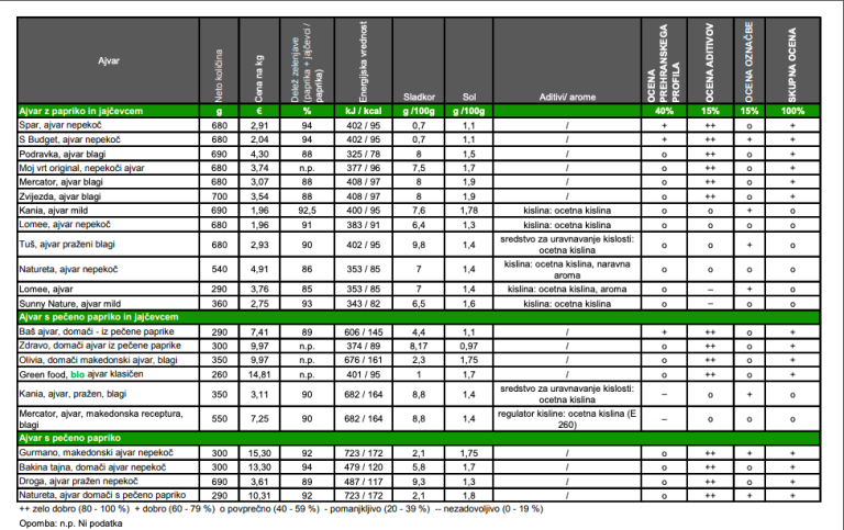
Skoraj vsak proizvajalec ponuja vsaj dve vrsti ajvarja: pekočo in nepekočo ali blago različico. Slednjo so v okviru tokratnega ocenjevala vzeli pod drobnogled na Mednarodnem inštitutu za potrošniške raziskave. V primerjalno ocenjevanje so vključili 22 izdelkov.

Vsi izbrani izdelki nosijo napis ajvar, a se po sestavi, ceni in prehranskem profilu lahko močno razlikujejo. Za kilogram ajvarja so odšteli do 1,96 do 15,30 evra, pri večini sta glavni sestavini res paprika in jajčevec, šest vzorcev vsebuje pečeno papriko. 

Pri oceni prehranskega profila so največ pozornosti namenili vsebnosti soli, sladkorja, maščob in nasičenih maščobnih kislin. Nič nenavadnega ni, da je v ajvarju tudi sladkor, saj je naravno prisoten v zelenjavi, kljub temu je sladkor dodan kar petnajstim izdelkom.

Vsi izdelki so na voljo v stekleni embalaži, zato so oceno embalaže iz tokratnega primerjalnega ocenjevanja izpustili.

Velike razlike pri hranilni vrednosti

Podobno kot pri recepturi so razlike med izbranimi vzorci velike tudi pri hranilni vrednosti. 

»V povprečju imajo izdelki s pečeno papriko (brez jajčevcev ali z njimi) višjo energijsko vrednost, predvsem zaradi večje vsebnosti maščob, saj vsebujejo tudi do 12 gramov maščobe v 100 gramih. Ajvarji iz surovih paprik v 100 gramih vsebujejo le od 2,6 do 8,1 grama maščobe in sorazmerno manj nasičenih maščobnih kislin,« je povzela rezultate Nika Kremić iz Zveze potrošnikov Slovenije in dodala: »Pri nasičenih maščobnih kislinah polovici izdelkov zasveti zelena, ostalim, ki vsebujejo več kot en gram nasičene maščobe pa oranžna luč.«

Nič nenavadnega ni, da je v ajvarju tudi sladkor, saj je naravno prisoten v zelenjavi, v sveži rdeči papriki ga je približno štiri grame na 100 gramov. Kljub temu je sladkor dodan petnajstim izdelkom, kar je slabša izbira, saj saharoza ali namizni sladkor spadata med proste sladkorje, opozarjajo na Mednarodnem institutu za potrošniške raziskave. 

Zelena luč za sladkor zasveti le pri vzorcih brez dodanega sladkorja, vsebujejo ga od 1,0 do 4,4 grama na 100 gramov.

Sol je priljubljen dodatek, ki poleg konzerviranja poudari okus izdelka. »Izdelki, ki smo jih vključili v tržni pregled, vsebujejo od 1,0 do 1,9 grama soli na 100 gramov izdelka, skoraj polovici (10 izdelkov) za vsebnost soli na semaforju zasveti rdeča luč, zato moramo biti pri uživanju teh izdelkov še posebej zmerni. Raje izberimo tiste z manj soli,« svetuje Kremićeva.

Nepotrebne arome

Trditev 'brez konzervansov' je navedena kar pri dvanajstih izdelkih, čeprav konzervansov - snovi, ki podaljšujejo obstojnost živil - ni v prav nobenem od pregledanih ajvarjev, zato je po mnenju strokovnjakov Mednarodnega instituta za potrošniške raziskave takšna trditev povsem nepotrebna. 

Še zlasti, ker jo potrošniki pogosto zamenjujejo s trditvijo brez aditivov. A brez konzervansov ni enako kot brez aditivov. »Kar 14 izdelkov je popolnoma brez aditivov, kar je vsekakor pohvalno,« ocenjuje Kremićeva.

Kaj svetujejo?

  • Izberite ajvar brez dodanega sladkorja in z manj soli ter se izognite dodanim aromam, saj je ajvar že sam po sebi dovolj aromatičen.
  • Izdelki s pečeno papriko so bolj mastni, zaradi samega postopka pečenja pa lahko nastanejo rakotvorni policiklični aromatski ogljikovodiki, zato z uživanjem ne pretiravajte.
  • Čeprav je ajvar označen kot nepekoč ali blagi, lahko vsebuje feferone ali pekočo papriko, zato pred nakupom preverite seznam sestavin.
  • Če ne načrtujete piknika za več oseb, raje izberite manjše pakiranje, saj je ajvar treba porabiti v treh do 14 dneh.
  • Če na izdelku ni navedeno drugače, odprt kozarec hranite v hladilniku na temperaturi do štiri stopinje Celzija.

Rezultati ocenjevanja, ki ga je sofinanciralo ministrstvo za gospodarski razvoj in tehnologijo, so v celoti prosto dostopni na tej povezavi.

Komentarji

Komentarji

Lokalno

Vse v Lokalno

Šport

Vse v Šport

Kronika

Vse v Kronika

Politika

Gospodarstvo

Scena

Slovenija

Svet

Vse v Svet

Kultura

Vse v Kultura