Slovenska policija v prodajo čez sto avtomobilov, takšne so cene

| v Slovenija

Ministrstvo za notranje zadeve prodaja 111 rabljenih prevoznih sredstev in 152 novih pnevmatik.

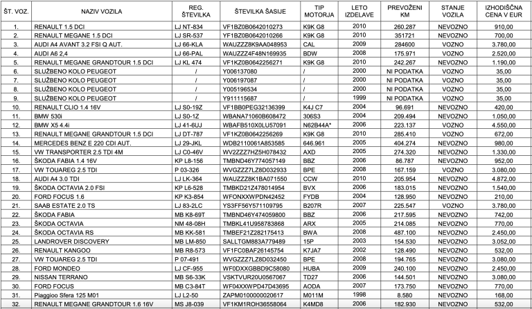
Ministrstvo za notranje zadeve je začelo z zbiranjem ponudb za 111 rabljenih prevoznih sredstev ter 152 novih avto- in moto plaščev.

V čem je »trik«? Kupec mora obvezno ponuditi odkup vseh premičnin naenkrat! Izhodiščna cena znaša vrtoglavih 185.820 evrov.

Med prevoznimi sredstvi, ki so naprodaj, so tako osebni kot patruljni avtomobili policije, policijski motorji in kolesa, pa tudi kombiji oziroma transportna vozila.

Kot je razvidno iz priložene dokumentacije, je velika večina vozil že videla boljše dni - skorajda vsa so nevozna, za njimi pa je na stotisoče prevoženih kilometrov. 

Preberite še

Komentarji

INVESTIGATOR

Še na odpadih je večji red, kot je na teh fotkah. Jaz te krame zastonj nočem. Tudi odvoz nekaj stane...

Komentarji

INVESTIGATOR

Še na odpadih je večji red, kot je na teh fotkah. Jaz te krame zastonj nočem. Tudi odvoz nekaj stane...

Lokalno

Vse v Lokalno

Šport

Vse v Šport

Kronika

Vse v Kronika

Politika

Gospodarstvo

Scena

Slovenija

Svet

Vse v Svet

Kultura

Vse v Kultura